新乡市中鑫封头制造有限公司为您免费提供锥体封头,分瓣封头,铝制椭圆封头等相关信息发布和资讯展示,敬请关注!
服务热线
18613741319

陕西河南封头

  • 产品详情

陕西河南封头是锅炉等压力容器的一个部件,也应用在管道封堵方面,新乡市中鑫陕西封头生产的封头有不锈钢、碳钢、钛、铝材质等多种材质的陕西椭圆封头陕西锥形封头陕西球形封头陕西半球型封头等等。

河南封头标准——压力容器封头:

GB/T25198-2010 GB/T12459-2005 GB/T13401-2005 SH3408-1996 SH3409-1996 D-GD87-0607 DL/T695-1999

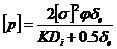
河南封头之陕西椭圆封头:组成部分:半椭球和高度为H的短圆筒,大工作压力计算方法如下:

河南封头

椭圆封头应用:1.作为管道末端封口使用;2.作为压力容器罐子用。

河南封头之陕西半球形封头——组成部分:半个球壳,应用介质:液体、气体以及气液混合蒸汽等。

河南封头之陕西锥形封头——分为无折边和折边两种,应用:在航空航天以及医药化工、钢铁锅炉容器等行业都有应用。

河南陕西封头厂家——新乡市中鑫封头制造有限公司常年生产制造多种规格型号的封头,欢迎广大新老客户前来洽谈合作!

时间:2021-11-13
上一个: 陕西封头直边     下一个: 陕西河南封头厂
相关标签: 封头厂家,河南封头,河南封头厂家